Adherence plays a critical role in the success of amblyopia treatment. Traditional approaches, such as occlusion therapy, often result in poor adherence, leading to suboptimal visual outcomes. Emerging home-based digital tools, such as video games, virtual reality, and movies, offer promising alternatives by increasing patient engagement and potentially enhancing treatment efficacy. This study aimed to evaluate adherence rates associated with emerging home-based interventions, identify key factors influencing adherence, and compare their effectiveness with that of traditional approaches. A comprehensive systematic literature review was conducted across PubMed, MEDLINE, Cochrane, Scopus, and Web of Science to identify eligible studies reporting adherence rates for home-based digital amblyopia therapies. A total of 27 studies were included, involving 1.727 participants aged between 3 and 35 years. The pooled adherence rate was 74.2% ± 21.9%, with a median of 80.5% (P25 = 59; P75 = 88.1). Movies achieved significantly higher adherence (84% ± 12.3%) than video games (68.4% ± 24.4%, p = 0.038). Adherence was higher in younger participants (p = 0.023) and was reduced with longer treatment duration (p = 0.005). Higher adherence correlated with greater visual acuity improvements (p < 0.001), while the association with stereopsis was weaker and not statistically significant (p = 0.095). These results suggest that emerging amblyopia therapies achieve adherence rates exceeding 70%, higher than traditional treatments. These findings emphasize the importance of age-appropriate and engaging treatment strategies to enhance both adherence and visual outcomes.
Amblyopia, or “lazy eye”, is a neurodevelopmental visual disorder characterized by reduced visual acuity (VA) and disrupted binocular vision, affecting up to 2.9 % of the population.1 Traditional treatments, such as occlusion or penalization of the dominant eye, aim to stimulate the amblyopic eye. While effective when prescribed, these methods often face limitations, including non-response in some cases2,3 and recurrence rate of up to 25 % within the first year of treatment discontinuation.4,5 Additionally, adherence to these therapies is often suboptimal, with reported adherence rates ranging from 49 % to 87 %,5–7 and up to 50 % of children failing to fully comply with patching protocols.2,8 Atropine penalization has shown some advantage in patient adherence compared to patching, although outcomes can vary significantly based on the child's response and the duration of treatment.9
Adherence plays a critical role in achieving optimal visual outcomes in amblyopia. However, traditional methods frequently face barriers such as discomfort, social stigma, and emotional distress.10 The suboptimal adherence observed with traditional therapies has driven interest in developing more engaging and less invasive treatment approaches that could improve patient adherence and outcomes.7
Recent advances in amblyopia treatment have focused on binocular and interactive interventions that exploit neuroplasticity, with the goal of enhancing both monocular and binocular visual functions.11,12 In this context, binocular therapy refers to approaches that stimulate both eyes simultaneously with identical or highly similar images, while dichoptic therapy is a specific binocular approach presenting different images to each eye, often contrast-rebalanced, to promote binocular integration and reduce suppression.13–15 Virtual reality (VR) is not a treatment itself but a technological platform capable of delivering both binocular and dichoptic protocols in an immersive and gamified environment, offering precise stimulus control.16,17 Emerging interventions such as video games, dichoptic movies, and VR are designed to address these challenges directly by making the treatment experience more enjoyable and less stigmatizing. Improved treatment adherence is particularly crucial in pediatric populations, where prolonged duration and poor motivation often lead to inadequate outcomes.2 The ability of these newer modalities to provide adaptive, individualized treatment also contributes to their efficacy, ensuring that patients remain appropriately challenged without becoming frustrated.18
Dichoptic treatment, has emerged as a promising approach, reducing suppression and promoting binocular cooperation.19 Commonly delivered through video games, dichoptic approaches provide immersive environments, that enhance patient engagement and have been associated with improvements in VA and stereopsis (ST), addressing both the sensory and functional deficits of amblyopia.12,20–25 However, current evidence remains fragmented and often lacks emphasis on adherence-related outcomes, limiting direct comparisons across interventions.
Perceptual learning involves repetitive practice on visual tasks that target the functional deficiencies of the amblyopic visual system,26,27 and has shown considerable potential in treating amblyopia, and further enhances outcomes when presented in interactive formats like video games, improving not only effectiveness but also engagement and compliance.26,28 VR is also emerging as an effective tool for amblyopia treatment, offering immersive three-dimensional environments that can be precisely controlled to target both eyes.29 VR-based therapies have been associated with improvements in both monocular and binocular visual functions and are generally better tolerated than conventional treatments, especially by children.16,17,29
While many studies focus on visual outcomes, few systematically report adherence data or explore the variability in adherence across intervention types. A comprehensive analysis of adherence is needed to better understand the factors influencing adherence and optimize treatment strategies for long-term effectiveness. This systematic review and meta-analysis aimed to evaluate adherence to emerging home-based digital interventions for amblyopia in comparison with conventional treatments, considering variations between different modalities and tools. It also sought to identify key patient and treatment related factors associated with adherence, such as age, amblyopia type, treatment duration, and monitoring methods, and to explore the relationship between adherence and clinical outcomes, particularly VA and ST improvement, while assessing how study design and methodological quality may influence these results
MethodsStudy design and eligibility criteriaThis systematic review and meta-analysis aimed to evaluate adherence with novel home-based treatment tools for amblyopia. The study adhered to the PRISMA 2020 guidelines and checklist (available in Supplementary Material) and was registered in PROSPERO (registration number CRD42024607056). Studies were eligible if they were randomized controlled trials (RCTs), cohort studies, or case-control studies assessing adherence to home-based amblyopia interventions. Studies were excluded if they did not report adherence outcomes, were not home-based, or did not target individuals with amblyopia.
Eligibility criteria were defined according to the PICO framework: the population included both children (<18 years) and adults (≥18 years) diagnosed with amblyopia of any subtype; the interventions comprised novel home-based treatments using digital or immersive tools, such as VR devices, binocular vision treatment platforms, 3D movies, and other technological innovations aimed at improving visual skills. Comparisons involved conventional therapies or across treatment modalities; and the outcomes focused primarily on adherence and secondarily on improvements in visual function. We also excluded studies involving in-clinic interventions, interventions not based on digital or immersive tools, or those lacking sufficient data for analysis. Conventional treatments included occlusion, optical correction and penalization, which involves pharmacologic or optical blurring of the dominant eye, as these represent the gold standard clinical management for amblyopia.
OutcomesThe primary outcome was treatment adherence, measured as the percentage of completed hours relative to the total prescribed duration. Adherence was assessed using objective measures (e.g., device-logged usage data),18,30–35 and/or subjective methods (e.g., caregiver reports),36–42 depending on the monitoring approach employed in each study. Secondary outcomes included treatment effectiveness, assessed by changes in VA and ST.
Search strategyA comprehensive search was conducted in PubMed, MEDLINE, Cochrane, Scopus, and Web of Science. Search terms included combinations of "Amblyopia", "Lazy eye", "Treatment", "Therapy", "Virtual reality", "Video game", "Movies", "Films", "Digital tools", "Home-based", and "Home treatment", using Boolean operators (AND, OR). Two authors independently conducted the searches in November 2024, with no restrictions on publication year.
Data extractionTwo reviewers independently extracted data using a pre-designed form. Information included study details (author, year, design), population (sample size, age, amblyopia type), treatment modality (type, duration, frequency), adherence (treatment adherence %, drop-out rates), and effectiveness (e.g., VA, ST). Discrepancies were resolved by consensus or with a third reviewer.
Risk of bias assessmentStudy quality was assessed using the Cochrane RoB 2 tool, evaluating five domains: randomization, allocation concealment, blinding, handling of missing data, and selective reporting. Each was classified as low, moderate, or high risk. This provided a comprehensive evaluation of methodological rigor across studies.
Data synthesis and analysisData were presented as mean and standard deviation (SD) or median and interquartile range (IQR), depending on distribution, assessed using the Kolmogorov-Smirnov test. Partial correlations between variables were analyzed using Pearson’s correlation coefficient (r) for parametric data and Spearman’s rank correlation coefficient (ρ) for non-parametric data. ANOVA and ANCOVA were used to analyze differences between groups and adjust for covariates, respectively. ANOVA assessed mean adherence differences across intervention types, while ANCOVA allowed control for confounders such as age, treatment duration, or baseline VA. Additionally, a linear regression analysis was performed to explore the association between baseline VA (logMAR) as a continuous variable and adherence rates. Both unadjusted and adjusted models (for age, treatment duration, intervention type, and monitoring method) were evaluated. The assumption of linearity was checked, and a quadratic term was included when this assumption was not met. For studies where meta-analysis was feasible, data were pooled using a random-effects model to account for heterogeneity among studies. Studies were included in the meta-analysis if they reported adherence data in compatible formats (e.g., percentage adherence, mean daily hours, or ratio of completed to prescribed sessions), involved home-based emerging interventions, and targeted amblyopia populations with comparable treatment protocols and participant characteristics (e.g., age range and severity). Meta-analyses were conducted using R Studio software, with adherence rates as the primary outcome. Heterogeneity was assessed using the I² statistic, where values above 50 % indicated substantial heterogeneity. Subgroup analyses were conducted based on treatment modality (e.g., VR vs. digital games), age group (children vs. adults), and treatment duration (short-term vs. long-term).
Sensitivity analyses were performed by excluding studies with a high risk of bias to evaluate their impact on the overall results. Certainty of the evidence for each primary outcome was evaluated using the GRADE approach across five domains: risk of bias, inconsistency, indirectness, imprecision, and publication bias. Summary of Findings (SoF) tables reported pooled effect estimates with GRADE ratings and supporting explanations.
ResultsStudy characteristics and adherence ratesThe database searches disclosed a total of 95 studies after removing 56 articles, including duplicates. Following the exclusion of studies unrelated, abstracts and methods sections of the remaining studies were screened for details on adherence with emerging technology-based amblyopia treatments. Ultimately, 27 studies satisfied the inclusion and exclusion criteria, 10 studies excluded after further scrutiny due to insufficient information, with 27 contributed data to the meta-analysis (Fig. 1).
Study characteristicsThe selected studies evaluated adherence to emerging technology-based amblyopia treatments, including video games, VR, and 3D movies. Most studies involved binocular treatments (n = 24), followed by perceptual learning (n = 2) and monocular therapies (n = 1). Adherence was measured using parent monitoring (n = 7) or device log tracking (n = 13) or both (n = 7). Table S1 summarizes the main characteristics of the included studies.
Overall adherence rates and by treatment modalityThe mean adherence rate of emerging treatments the was 74.2 % ± 21.9, with a median of 80.5 % (IQR: 59–88.1) and a range of 21 % to 100 %. These results suggest a relatively high adherence to emerging technology-based tools. A one-way ANOVA was conducted to compare adherence rates across intervention types (monocular and binocular treatments, VR and perceptual learning) and revealed no significant differences between the groups (F(3, 26) = 0.97, p = 0.448), though binocular and VR treatments (n = 24, 75.6 % ± 20.2) and perceptual learning (n = 2, 80.2 % ± 28.0) higher adherence than monocular treatment (n = 1, 27.5 %). The presence of small sample sizes in specific groups, particularly in monocular group (n = 1) and perceptual learning group (n = 2), presents significant challenges to the robustness of the analysis when comparing treatment modalities. The limited number of studies within these groups results in unstable variance estimates, which may introduce bias and compromise the reliability of the findings.
An analysis of covariance (ANCOVA), adjusting for completed hours confirmed non-significant differences by intervention type on adherence rate (F(1,24) = 2.48 p = 0.128). Similarly, the number of completed hours showed no significant association (F(1,24) = 0.04, p = 0.850). On average, the treatment duration across all studies was 53.5 ± 44.5 h. When broken down by tool, studies using video games (n = 17) had a mean duration of 44.5 ± 46.9 h, while those using movies (n = 10) had a longer mean duration of 68.9 ± 37.4 h.
Adherence was categorized as high (>80 %), moderate (50–80 %), or low (<50 %), following commonly used thresholds in amblyopia treatment literature. This classification allowed for standardized subgroup analysis across studies.43,44 All low adherence cases occurred in video game studies. Among participants, 53.3 % in the video game group achieved high adherence, compared to 46.7 % in the movie group.
Adherence by type of tool (video games vs. 3D movies)When comparing adherence specifically between type of intervention tool, video games and movies, it was observed that it is higher with movies (n = 10; 84 % ± 12.3) than with video games (n = 17; 68.4 % ± 24.4, p = 0.038). However, an ANCOVA, controlling for estimated completed hours, showed that this difference was not statistically significant (F(1,24) = 3.49, p = 0.073), and estimated hours completed was not a significant predictor (F(1,24) = 1.03, p = 0.318).
Factors associated with adherenceA multiple regression analysis was conducted to identify factors influencing adherence. Two variables emerged, intervention type (p = 0.040) and treatment duration (p = 0.026), as significant predictors. Specifically, certain interventions enhanced adherence, whereas longer treatment durations were associated with lower adherence. By contrast, patient median age, type of amblyopia, and monitoring method showed no statistically significant associations with adherence (p > 0.05). In a refined model (Adjusted R² = 0.438), age (p = 0.023) and treatment duration (p = 0.005) remained significant, while intervention type lost significance (p = 0.171). When age was analyzed as a categorical variable, children (<18 years) showed higher adherence (78.5 % ± 19.4) than adults (62.1 % ± 23.7, p = 0.021), suggesting that caregiver involvement and structured routines may play a role in pediatric adherence. Fig. 2 shows the correlation of adherence based on age and training duration for the different included studies.
Additionally, adherence was analyzed in relation to baseline severity of amblyopia, measured as baseline VA (logMAR). In the unadjusted linear regression model, higher baseline logMAR was significantly associated with lower adherence (β = −74.2, p = 0.012). After adjusting for age, treatment duration, intervention type, and monitoring method, this association was no longer statistically significant (β = −7.1, p = 0.890). Inclusion of a quadratic term for baseline VA significantly improved model fit (p = 0.010), indicating a non-linear relationship in which both very mild and very severe amblyopia cases tended to have lower adherence.
Treatment adherence and clinical efficacyRelationship between adherence and visual acuity and stereopsis improvement between technological toolsThe analysis of the relationship between treatment adherence and improvements in VA (logMAR) and ST (log ′) reveals interesting patterns. The mean improvement values of VA and ST for the control and experimental groups across the different studies are presented in Table 1. A partial correlation analysis, adjusted for estimated completed hours and including all studies, indicates a significant association between treatment adherence and improvement VA (Rho = 0.527, p < 0.001), suggesting that patients with higher adherence exhibit greater improvement in VA. However, for ST, the correlation is not statistically significant (p = 0.095), implying that the effect of adherence on depth perception is less clear.
Mean VA and ST of experimental and control groups in included studies. Note: NA = Not available.
To determine whether digital technology-based treatments are more effective than occlusion in improving VA and ST, we conducted a separate analysis including only studies in which the control group underwent occlusion, excluding refractive adaptation treatment, sham groups or no treatment controls. These subset of studies (n = 13 for VA; n = 10 for ST) enables a direct comparison between digital interventions and occlusion.
A partial correlation analysis adjusted for estimated treatment duration was performed to evaluate the relationship between treatment adherence and clinical outcomes within this subset. Results revealed a strong and statistically significant association between adherence and improvement in VA (ρ = 0.834, p < 0.001; n = 13). In contrast, the association between adherence and ST improvement was not statistically significant (ρ = 0.537, p = 0.110; n = 10). These findings suggest that, while both modalities yield visual benefits, higher adherence to digital therapies is robustly linked to greater gains in VA when compared against occlusion, whereas the relationship with ST is less consistent. Further studies with larger sample sizes are warranted to confirm these trends, especially regarding ST outcomes.
The effectiveness of different technologies used in amblyopia treatment was assessed by comparing improvements in VA and ST across intervention tool types: video games and movies. Results showed that movies led to a significantly greater improvement in VA compared to video games (p = 0.010), suggesting that passive visual stimulation through video content might be more effective for enhancing VA than interactive gaming. Regarding ST improvement, while movies showed a higher mean gain compared to video games, the difference did not reach statistical significance (p = 0.080), indicating a potential trend favoring movies that requires further confirmation through larger studies.
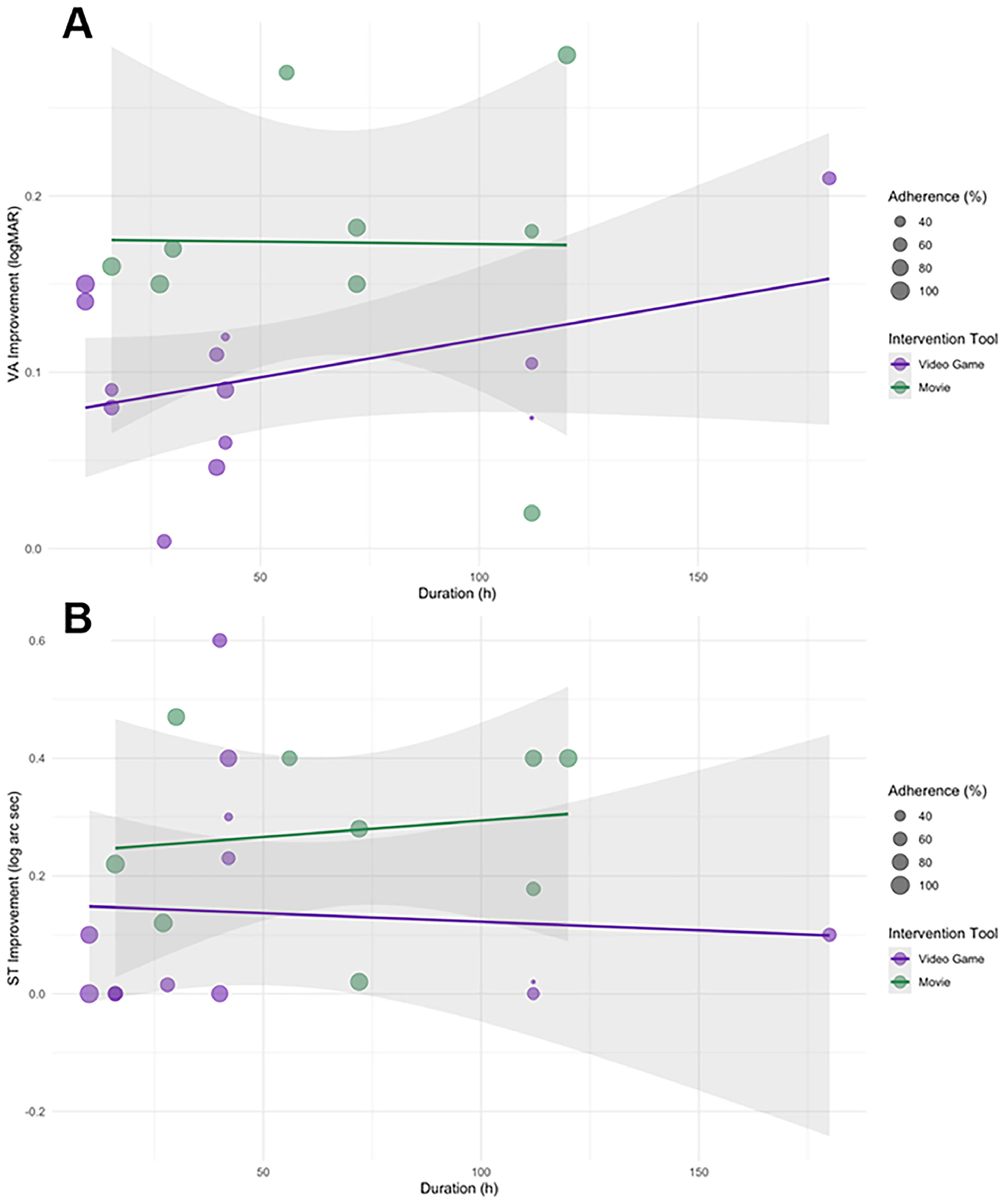
Influence of treatment duration on clinical outcomesThe relationship between treatment duration and improvements in VA and ST was also analyzed using Spearman’s correlation. For VA, the correlation was weak and not statistically significant (rho = 0.217, p = 0.287) (Fig. 3, Panel A). Similarly, the correlation between treatment duration and ST improvement was even weaker (rho = 0.136, p = 0.537) (Fig. 3, Panel B), indicating no clear relationship between duration and these clinical outcomes.
Relationship between total training duration (hours), adherence and visual acuity (logMAR) (Panel A) and stereopsis improvement (log ′) (Panel B). Data points represent individual studies, color-coded by intervention tool (video games vs movies), and bubble size indicates adherence percentage.
Table 2 shows the adherence rates, VA (logMAR) and ST (log ′) improvement, presented as means with standard deviations (SD), along with p-values for all included studies and p-values for direct comparisons between video games and 3D movies.
Summary of principal parameters across all included studies, comparing overall results with subgroup data for video games and 3D movies.
A meta-analysis of adherence rates was conducted using data from the 27 studies with suitable quantitative data.31,32,34,35,41,45–56 The pooled adherence rate was 74.02 %, indicating moderately high adherence with technology-based amblyopia treatments. However, substantial heterogeneity was detected (I² = 74.7 %; p < 0.001), reflecting considerable variability across studies. The Fig. 4 presents the adherence rates reported in each included study, along with their corresponding 95 % confidence intervals, and categorized by the type of intervention tool used: video games or movies. Separate analyses showed adherence was significantly higher with movie-based interventions (85.09 %) than with video games (68.02 %) (p = 0.038), suggesting that passive interventions may yield better compliance.
A meta-regression analysis identified median age and treatment duration as significant contributors to this observed heterogeneity, reducing the I² to 12.32 %, which is within an acceptable range (< 25 %). This model explained 91.53 % of the variance in effect size (R² = 91.53 %). Both covariates showed significant negative associations with adherence: median age (estimate = −2.698, p < 0.001) and treatment duration (estimate = −0.189, p = 0.002).
Visual acuity and stereopsis improvementTo identify clinical predictors of treatment outcomes, regression analysis was conducted on 22 studies involving binocular or dichoptic interventions. Variables examined included amblyopia type, mean age, and monitoring method.
For VA improvement, 26 studies contributed data to the meta-analysis.31–37,39,41,45–57 The pooled effect size showed a modest improvement in VA with high heterogeneity (I² = 89.8 %, p < 0.001). Fig. 5 presents the VA outcomes by intervention tool used: video games or movies. When analyzed separately, video games were associated with a mean improvement of 0.10 logMAR, while movies showed a slightly greater benefit with 0.19 logMAR.
Meta-regression model revealed younger mean age (p = 0.030) and monitoring method (p = 0.037) were significantly associated with better outcomes. The adjusted R² for this model was 0.281, meaning that 28.2 % of the variance in VA improvement was explained by these key factors.
ST improvement, was assessed in 20 studies.31,33–37,39–41,50–54,56,58 The overall mean gain was 0.26 log ′, with movies again showing a slight advantage, mean improvement of 0.23 log ′, over video games, mean of 0.26 log ′. In the final model, Device Log monitoring emerged as a significant predictor for ST improvement (p = 0.045) and the final model’s explanatory power increased to 0.370, with an overall model significance (p = 0.023). The Fig. 6 shows the mean ST reported in each included study, along with their corresponding 95 % confidence intervals, and categorized by the type of intervention tool used: video games or movies.
Publication bias and sensitivity analysisPublication Bias and Sensitivity Analysis Risk of bias was assessed using the Risk of Bias 2 (RoB 2) tool developed by the Cochrane Collaboration, which evaluates five domains: (1) bias from the randomization process, (2) deviations from intended interventions, (3) missing outcome data, (4) measurement of outcomes, and (5) selection of the reported result. Full details of domain-level risk assessments for each study are provided in Table S2.
Egger’s regression test was applied to assess small-study effects across all meta-analysis outcomes. No significant evidence of publication bias was detected for adherence (p = 0.532), VA improvement (p = 0.263), or ST improvement (p = 0.978), with all p-values exceeded the threshold of 0.05. Funnel plots (Fig. 7) showed symmetrical distributions for VA and ST, while adherence displayed a slightly more pronounced asymmetry.
Subgroup and sensitivity analyses excluding studies with a high risk of bias yielded consistent findings. Only two studies were considered low risk, yet results remained robust, reinforcing confidence in the overall estimates.
The general methodological quality of the included studies was deemed adequate for meta-analysis despite moderate risk of bias in most cases. Key limitations involved the lack of blinding of participants and personnel and incomplete outcome data in some trials. Nevertheless, randomization and outcome measurement procedures were generally well executed.
The results of this assessment indicated that, overall, the studies presented a moderate risk of bias, mainly associated with the lack of blinding of participants and study personnel, as well as the presence of incomplete outcome data in some trials. However, most studies adequately managed the randomization process and the measurement of outcomes, reducing the concern for severe systematic bias.
Certainty of evidence assessmentThe certainty of the body of evidence for each primary outcome was evaluated using the GRADE framework.59 Ratings were based on five domains: risk of bias, inconsistency, indirectness, imprecision, and publication bias.
Adherence was rated as high certainty due to consistent findings across studies, a large pooled sample, and low risk of bias. VA improvement was rated as moderate due to substantial heterogeneity. ST improvement was rated as low certainty due to variability in findings and weaker effect consistency, as summarized in Table 3.
Summary of findings table (GRADE assessment).
Indirectness was assessed by examining population, intervention, outcomes, and comparisons. All studies enrolled amblyopic patients, mostly children and adolescents, and used home-based digital therapies such as video games and movies, which align with the focus of this review. Outcomes measured (adherence, VA, and ST) were clinically relevant, and comparisons were typically made against standard treatments (e.g., occlusion therapy). No surrogate outcomes were used. As such, indirectness was minimal and no downgrading was applied.
DiscussionTreatment adherence is a critical determinant of amblyopia treatment effectiveness. Over the years, various studies have evaluated adherence with traditional treatments, including occlusion, optical and pharmacological penalization, and optical correction. It is of particular interest to compare adherence to technology-based amblyopia treatments with that observed in traditional approaches, such as optical correction, occlusion, or penalization. Understanding these adherence differences helps to contextualize current challenges and opportunities in improving amblyopia treatment and, consequently, outcomes. The results of this systematic review largely address the research questions posed in the study objectives. Adherence rates to emerging technology-based treatments were identified and compared to conventional methods. Furthermore, adherence differences across treatment modalities and tools were explored, and key influencing factors were identified, including treatment duration, patient age, and intervention type. A significant relationship between adherence and VA improvement was demonstrated, while the association with ST improvement was less consistent. Sensitivity analyses and meta-regressions allowed partial explanation of methodological heterogeneity, offering a comprehensive understanding of adherence and its determinants, although some aspects require further research to strengthen conclusions.
Adherence to emerging technology-based amblyopia treatments and conventional approachesHistorically, occlusion therapy has been the most widely used approach for treating amblyopia, but its effectiveness is limited by adherence variability. Previous studies have shown that adherence to occlusion therapy is highly variable and generally low, with rates ranging from 33 % to 70 %, depending on the methodology used to monitor adherence.2,60–62 Repka et al. (2003) reported that patients with moderate amblyopia adhered to approximately 6 h of patching per day, corresponding to an average adherence rate between 50 % and 70 %.60 However, Wallace et al. (2018), using electronic monitoring devices, found lower adherence rates, with a mean of 60 %.63 More recent studies, such as MOTAS (Monitored Occlusion Treatment Amblyopia Study) and ROTAS (Randomized Occlusion Treatment Amblyopia Study), also reported low adherence rates. The MOTAS study investigated the dose-response relationship in the treatment of amblyopia in 94 children. After an 18-week period of refractive adaptation, participants were prescribed 6 h of daily patching until any observed gains had ceased (up to 800 h). The ROTAS study compared visual improvement in 42 children with amblyopia treated with 6 h per day of occlusion versus 12 h per day following 18 weeks of refractive adaptation. No significant difference in final VA was found between the groups (6h: 0.26 logMAR, 12h: 0.25 logMAR), with a mean total occlusion dose of 229 h in the 6-hour group and 309 h in the 12-hour group. In MOTAS, the average adherence was only 48 %, while in ROTAS it increased to 54 %.2,64 Additionally, it was observed that on 42 % of treatment days, no patching was performed at all, and adherence was significantly lower on weekends compared to weekdays (39 % vs. 46 %, p = 0.040).2,64 Optical correction generally achieves higher adherence, averaging around 70 % (range 44 %–80 %).65,66 Atropine penalization shows adherence rates similar to, or slightly higher than, occlusion, typically ranging between 50 % and 70 % depending on the monitoring method and study population.66,67 In contrast, our systematic review suggests that modern treatments (74,2 %), such as dichoptic video games (68.4 %), movies (84 %), and VR (75.6 %), show higher adherence rates than those reported for occlusion therapy (33 % to 70 %, with up to 50 % of children failing to fully comply).
Furthermore, our meta-analysis revealed notable differences in adherence between dichoptic video games and movie-based interventions, with pooled adherence rates of 68.0 % for video games and 85.1 % for movies (p = 0.038). Meta-regression analysis indicated that part of this difference could be explained by lower median age and shorter treatment duration in movie-based studies, both of which were significant predictors of higher adherence. While the associated superior gains in VA (0.18 vs. 0.10 logMAR) suggests that even moderate adherence differences may yield meaningful improvements in treatment outcomes, these findings should be interpreted in light of these contributing factors. Overall, the nature of the intervention plays a key role in treatment adherence, with passive experiences, such as movies, being more easily incorporated into patients’ daily routines than interactive and cognitively demanding activities like video games.
Factors influencing patient adherenceSignificant predictors of adherence included age (p = 0.023) and treatment duration (p = 0.005). Younger children demonstrated higher adherence rates. This may be attributed to greater caregiver supervision and lower resistance to prescribed interventions at earlier ages. In contrast, adherence tended to decline as treatment duration increased, particularly in game-based interventions, where task repetition and treatment fatigue may progressively reduce engagement over time. These observations mirror those reported for occlusion therapy, where adherence typically declines over time, especially in older children.64,68 Meta-regression confirmed the importance of these variables, with age and treatment duration explaining over 90 % of the variability in adherence and reducing heterogeneity to minimal levels (I² = 12.3 %).
The results findings align with the data observed for the emerging digital interventions analyzed in this review. For example, Birch et al. (2020) reported an adherence rate of 100 % in children aged 4 to 10 years using a dichoptic iPad game for 10 h over several weeks.47 However, longer interventions, such as those reported by Bossi et al. (2017)30 (56 h) and Dahlmann-Noor et al. (2024)31 (112 h), showed a progressive decrease (68 % and 57.9 %, respectively), reflecting similar patterns. Dahlmann-Noor et al. (2024) specifically observed a significant reduction in adherence (57.9 %) in patients with a mean age of 4.81 years, most likely due to the prolonged treatment duration (112 h).31 This suggests that, although early intervention is beneficial, excessively long therapeutic regimens may negatively affect adherence. This view was confirmed in our meta-regression analysis, where treatment duration emerged as a significant negative predictor of adherence (p = 0.002). However, treatment duration showed no statistically significant direct association with improvements in VA or ST, suggesting that its influence on outcomes is likely mediated through its effect on adherence rather than through a direct relationship. Taken together, these findings underline that individual factors, particularly age and treatment duration, can modulate adherence, which in turn may impact therapeutic outcomes.
In our subgroup analysis, adherence rates were higher in children (<18 years; 78.5 % ± 19.4) than in adults (62.1 % ± 23.7, p = 0.021). This difference may reflect greater caregiver supervision and structured routines in younger patients, although cultural, socioeconomic, and study design factors may also have contributed. Adults may face competing responsibilities and lower external reinforcement. In addition, children may be more readily engaged than adults with technology-based interventions, which could further contribute to higher adherence. These findings highlight the importance of tailoring engagement strategies to different age groups, considering both patient autonomy and the role of caregivers.
Although our review intended to include all amblyopia subtypes, only anisometropic and/or strabismic amblyopia studies were ultimately included. In our pooled analysis, 53.08 % of patients presented with anisometropic amblyopia, 20.20 % with strabismic amblyopia, and 26.72 % with mixed-mechanism amblyopia. Different subtypes of amblyopia may exhibit distinct patterns of treatment adherence and therapeutic response. While our analysis did not reveal a statistically significant association between amblyopia subtype and adherence (p = 0.819), this may be attributed to underreporting or insufficient stratification in the included studies. Future stratified trials are needed to examine whether certain amblyopia subtypes benefit more from specific interventions or present unique adherence challenges.
Relationship between adherence and effectivenessBeyond adherence, the effectiveness of these interventions in improving visual function is a key consideration. Our meta-analysis found that movie-based therapies led to greater improvements in VA (0.18 ± 0.08 logMAR) compared to video game-based interventions (0.10 ± 0.05 logMAR, p = 0.010). This finding suggests that differences in adherence may directly influence treatment efficacy. However, although adherence and improvement were positively correlated, causality cannot be established. Unmeasured factors such as baseline motivation, caregiver involvement, or socioeconomic status may confound this relationship.
Bossi et al. (2017), evaluated a home-based binocular treatment for amblyopia in 22 children aged 3 to 11 years. The treatment involved daily sessions of dichoptic movies and gameplay for up to 8 or 24 weeks (totaling approximately 56 h, depending on the group). They reported a VA improvement of 0.27 logMAR in the amblyopic eye following the movie-based.30 Similarly, Kelly et al. (2018) found that after 2 weeks of binocular treatment (10 h), participants demonstrated significant improvements VA in amblyopic eye (mean improvement of 0.14 ± 0.09 logMAR, p < 0.001) and a reduction in suppression.69 However, Kelly et al.(2018) reported no significant differences between game-based and movie-based interventions for VA gains (p = 0.920), ST improvement (p = 0.280), suppression scotoma reduction (p = 0.600), or depth of suppression (p = 0.320), suggesting that both types of interventions may be equally effective when adherence is comparable (87 % for games and 100 % for movies).69
For ST improvement, our results demonstrate a complex and inconsistent relationship with adherence. In the overall analysis, the correlation between adherence and ST improvement did not reach statistical significance (p = 0.095). Regarding improvements in ST, a trend similar to that observed for VA was noted, with movies leading to an average gain of 0.26 log ′, while video games resulted in 0.23 log ′. Hess et al. (2014)18 reported a higher gain in ST with video games (0.60 log ′), but this result was not consistent across all game-based interventions. Hess et al. (2014) evaluated a home-based dichoptic video game treatment for 14 amblyopic participants aged 13 to 50 years (6 strabismic, 6 anisometropic, 2 mixed). The prescribed treatment lasted 40 h in total. Conversely, studies such as Gao et al. (2018)58 evaluated a home-based binocular video game treatment for 115 amblyopic participants (mean age: 21.5 years), with a prescribed treatment duration of 42 h (1 hour per day for 6 weeks). This study reported a moderate increase in ST (0.23 log ′), further reinforcing the idea that, although video games can be beneficial, they may require higher levels of engagement to achieve optimal outcomes. In addition, our meta-analysis also found that studies using objective monitoring reported greater ST gains, suggesting that objective monitoring may better capture the link between engagement and binocular improvement. These findings suggest that, while both types of interventions contribute to visual improvement, the higher adherence associated with movies may enhance their therapeutic effectiveness.
In addition to adherence comparisons, our analysis also explored the clinical efficacy of digital treatments relative to occlusion or refractive adaptation. In a subgroup of 16 studies with conventional control interventions, partial correlation analyses adjusted for treatment duration revealed no statistically significant association between digital treatment adherence and ST improvement (ρ = 0.537, p = 0.110). For VA improvement, the correlation with adherence was stronger (ρ = 0.834, p < 0.001), suggesting that patients with higher adherence to digital interventions tended to achieve greater VA gains than those undergoing occlusion. This indicates that novel binocular and dichoptic therapies may have particular advantages in enhancing VA, while their effect on depth perception remains less certain. Further head-to-head trials are needed to confirm these trends and better quantify differences between treatment types.
Methodological quality and heterogeneity in studiesThe heterogeneity analysis revealed substantial variability in treatment adherence (I²=74.7 %, p < 0.001). After adjusting for covariates such as age and treatment duration, heterogeneity in adherence significantly decreased (I²=12.3 %, R²=91.53 %, p < 0.001), suggesting that patient-specific factors play a critical role in adherence levels. This highlights the importance of adopting personalized treatment approaches, tailoring interventions to each patient’s individual characteristics, such as age, motivation, and ability to engage with specific therapeutic modalities.
GamificationGamification, the application of game design elements in non-game contexts, has shown promising results in improving adherence to amblyopia treatments such as occlusion, by creating a more pleasant and motivating therapeutic experience.70 Features such as rewards, challenges and progression can make amblyopia treatment more engaging, especially for younger patients. While gamification has already been applied to conventional therapies, its integration into digital interventions could be even more effective.30,46 When this approach is applied to amblyopia treatment in a structured and intentional manner, gamification can enhance enjoyment, reduce dropout, and improve intrinsic motivation, leading to better engagement and potentially superior visual outcomes. Our findings also suggest that binocular or VR-based treatments incorporating passive elements, like movies, tend to show higher adherence than interactive video games. Therefore, reinforcing video game designs with adaptive difficulty, achievement systems, social interaction, and clear feedback mechanisms could further boost adherence and clinical effectiveness. These design strategies align with theoretical models of motivation and user engagement,71,72 which emphasize autonomy, competence, and sustained attention as key to adherence.
LimitationsOne of the primary challenges identified in this systematic review was the limited availability of clinical studies reporting standardized adherence data for emerging amblyopia treatments. Many trials prioritized efficacy outcomes while providing insufficient information on adherence. Moreover, substantial variability in adherence assessment methods, ranging from self-report to automated tracking, complicated cross-study comparisons and interpretation.
Adherence is a critical determinant of treatment success, particularly in home-based therapies where patient motivation and self-discipline are essential. Inconsistent or unreliable adherence data hinder accurate evaluation of therapeutic efficacy and obscure distinctions between treatment failure and non-compliance.
Funnel plot analyses indicated a potential risk of publication bias, a known limitation in meta-analytic research. While this does not invalidate the main findings, it warrants caution in generalizing results to clinical settings. These concerns were echoed in the GRADE assessment: although adherence outcomes were rated as high-certainty due to large, consistent datasets, evidence on VA and ST improvements was downgraded for heterogeneity and inconsistency. These limitations emphasize the need for future research to employ standardized adherence metrics and ensure methodological transparency to strengthen the evidence base in this field.
ConclusionsAdherence to emerging home-based digital amblyopia therapies averaged 74.2 %, exceeding rates typically observed with traditional occlusion or penalization. Movies show a clinically higher adherence and greater visual improvements compared to video games, particularly in younger children. These results highlight the importance of tailoring treatments to the patient’s age, treatment duration, and motivation, while also optimizing the design of digital interventions.
Data AvailabilityAll relevant data are within the paper and its Supporting information files.
FundingThis research received no specific grant from any funding agency in the public, commercial, or not-for-profit sectors.
Ethics approval statementNot required.
Trial registrationIdentifier: CRD42024607087 [07/11/2024].
CRediT authorship contribution statementLaura Asensio-Jurado: Conceptualization, Data curation, Formal analysis, Investigation, Methodology, Project administration, Resources, Software, Validation, Visualization, Writing – original draft, Writing – review & editing. Marc Argilés: Data curation, Supervision, Validation, Writing – review & editing. Valldeflors Vinuela-Navarro: Validation, Writing – review & editing. Lluïsa Quevedo-Junyent: Supervision, Writing – review & editing.
The authors have no conflicts of interest to declare.











