To evaluate the in vitro measurement of central thickness (CT) in soft contact lenses using two commercial optical coherence tomography (OCT) systems by analyzing their repeatability and agreement.
MethodsA randomized, controlled, investigator-masked trial was conducted using 120 soft contact lenses made from eight different materials. Three examiners measured the CT of the soft contact lenses using two commercial OCT systems with a spherical support marked for correct lens centration. One system was a swept-source OCT, and the other a spectral-domain OCT. Intra- and inter-examiner repeatability were assessed. Comparisons between the OCT systems and the electronic thickness gauge, considered the gold standard, were analyzed. Agreement between the two OCT systems was evaluated using Bland–Altman plots.
ResultsBoth OCT systems showed a 95% confidence interval for intra-examiner repeatability of <10.0 µm for most materials. Inter-examiner repeatability was worse than intra-examiner repeatability, exceeding 10.0 µm in some materials. The mean differences between the OCT devices and the electronic thickness gauge were <10 µm. Swept-source OCT provided slightly lower CT values than spectral-domain OCT, although most differences were within ± 10 µm.
ConclusionBoth OCT systems demonstrate good repeatability and strong agreement with the electronic thickness gauge for measuring the central thickness of soft contact lenses, and can be used interchangeably. These findings support their use as a viable alternative in lens development, manufacturing, and quality control.
Contact lens central thickness (CT) has been measured using ISO-standardized techniques, such as electronic thickness gauges (ETG) and optical projection methods. However, these methods have limitations, particularly for soft contact lenses, which can deform during measurement.1 Precise CT measurement is essential for optimizing fitting and studying ocular surface shape and its interaction with contact lenses, thus ensuring proper corneal health. While traditional methods are reliable, they lack automation and precision, especially as contact lens designs and materials become increasingly complex.2
Optical coherence tomography (OCT) emerged as a highly promising technology for measuring the central thickness (CT) of both soft and rigid contact lenses.3,4 OCT offers non-invasive, high-resolution imaging, which may overcome the limitations of traditional techniques. Although OCT is widely recognized as a valuable tool in industrial inspection and demonstrated considerable utility in clinical practice for assessing various contact lens parameters in vivo and in vitro,5 its use for measuring the CT of soft contact lenses has not yet been incorporated into ISO standard guidelines. Therefore, the reproducibility of OCT in this context should be validated, especially for soft contact lenses, which are challenging to measure consistently due to their flexibility and moisture content.6–8
The broad range of applications OCT systems have for contact lens precise measurement can drive innovation, enhance manufacturing and improve clinical evaluation in this field. However, there is limited data on the comparative performance of different OCT, particularly concerning inter-observer repeatability and consistency across various lens materials.9 No comprehensive study systematically evaluated in vitro central thickness measurements using OCT, considering both repeatability and manufacturer-reported values. Furthermore, a thorough comparison between different OCT systems is lacking, which is essential to establish their reliability for regulatory compliance in manufacturing processes and their concurrent application in clinical practice. Notably, commercially available OCT systems can be utilized both for in vitro manufacturing processes and for in vivo clinical applications, highlighting their versatility and potential impact in both domains.
Research demonstrated high repeatability in measuring corneal and epithelial thickness by OCT, as well as high-resolution imaging of endothelial abnormalities.10 The higher resolution compared to other techniques, precise measurement of ocular structures, and its non-invasive scanning method established OCT as the gold standard for high-resolution anterior segment imaging.11 A previous study by Shen et al.3 showed that a custom-built OCT was effective for imaging entire contact lenses, providing accurate and precise thickness measurements in both in vivo and in vitro settings. Unlike these authors,3 the present study evaluated two commercially available OCT systems for measuring the central thickness of soft contact lenses, incorporating a calibrated dome into the OCT systems to serve as a support for the contact lenses.
In this context, this study aimed to validate the in vitro measurement of CT in various soft contact lenses using two commercial OCT systems: the DRI Triton swept-source OCT and the iVue-100 spectral-domain OCT. The performance of these systems was compared across a broad range of lens materials and powers by assessing intra- and inter-repeatability, the level of agreement between OCT systems, and the mean differences between each OCT system and the ETG (gold standard). The results of this study would provide insights into the applicability of OCT technology for the geometric characterization of soft contact lenses, with implications for both clinical practice and manufacturing processes.
MethodsDesign of the studyA randomized, controlled and masked trial was performed to assess the repeatability and agreement of soft contact lens central thickness measurements conducted by three different examiners using two different OCT devices. For further analysis of the results, examiner 1 measured also all lenses using the ETG (Model ET-3; Createch Rehder Development Co.; Greenville, USA), a method widely regarded as the gold standard for in vitro measurement of central thickness of contact lenses and considered the gold standard in this matter.
OCT systemsThe OCT systems used in this study were the iVue-100 Spectral Domain OCT (Optovue Inc.; Fremont, CA, USA) and the DRI Triton Swept Source OCT (Topcon Corporation; Tokyo, Japan). The iVue-100 OCT employs an 840 nm emitting diode that can achieve a 26,000 A-scans per second speed with 5 µm axial resolution. The DRI Triton OCT provides a faster 100,000 A-scan/s speed with a 1050 nm scanning laser diode, achieving a 2.6 µm axial resolution.
CT measurement with both OCT devicesA total of 120 soft contact lenses were used in the study comprising 8 materials (4 daily disposable and 4 monthly disposable), with 5 different powers (−6.00, −3.00, −0.50, +3.00 and +6.00 diopters) each and a sample of 3 lenses for each material and power. Supplementary Table 1 summarizes the full technical specifications of the lenses used. At the beginning of the study, all lenses were stabilized in one milliliter of phosphate-buffered saline (PBS) for a 24-hour period in 24-well plates. Subsequently, each lens was then placed on a calibrated, 8 mm diameter spherical support, featuring three white markings to ensure proper positioning and optimal centering of the contact lens on the measuring support. In addition, a circular mark was included to define the diameter of each lens, ensuring its proper alignment and fitting onto the support (Fig. 1). Central thickness measurements were performed under controlled conditions of humidity (30–60 %), temperature (21–24 °C) and no later than 10 s after lens placement on the spherical support.
For each one of the 120 soft contact lenses used in the study, a total of three measurements were performed by each one of the three examiners under the same environmental conditions mentioned above. Each examiner was also responsible for the quantification of the lens thickness using the caliper tool available for each OCT system’s software for their respective measurements. Because the OCT software was designed to quantify the corneal thickness of human patients (nc = 1.376), raw contact lens measurements were subsequently corrected based on the refractive index of the corresponding material (see Supplementary Table 1). The Optical Path Length (OPL) equation was used to calculate the central thickness of the contact lens:
Where n represents the refractive index of the medium, and L denotes the physical path length of the light within that medium.Statistical analysisStatistical analysis was conducted with SPSS Statistics for Macintosh® software (version 29.0.2.0; IBM Corp.; Armonk, NY, USA). The normal distribution of variables was assessed by Kolmogorov-Smirnov and Shapiro-Wilk normality tests. Since none of the variables followed a normal distribution, a non-parametric Friedman test was used to determine whether there were any differences between the measurements performed by each examiner.
The in vitro technique was evaluated by assessing both intra- and inter-examiner repeatability, by calculating the square root of the mean square within-subject standard deviation (Sw) along with its 95 % confidence interval (w), which is mathematically defined as the 1.96√2 x Sw and represents the limit value within which 95 % of differences between examiners should lie.12 Additionally, repeatability was further evaluated by calculating the intraclass correlation coefficient (ICC), where values between 0.75 and 0.90 indicated good repeatability and values above 0.90 indicated excellent repeatability.13 The ICC analysis was performed using a two-way random effect model for single measurements according to the McGraw and Wong convention.14
Bland-Altman analyzes were conducted to assess the agreement (bias and precision) between the different devices (iVue-100 vs. Model ET-3 and DRI Triton vs. Model ET-3) and statistically significant differences were assessed using the Wilcoxon test, with a significance set at p-value < 0.05. In this analysis, precision (95 % limits of agreement) was mathematically defined as 1.96x the standard deviation of the mean difference between two devices (bias). The agreement between the two OCT systems used in the study was evaluated using Bland-Altman plots.15 Statistical significance was set at p-value < 0.05.
ResultsIntra-examiner repeatability results are summarized in Table 1. No statistically significant differences were found among the three repeated measurements performed by each examiner (P ≥ 0.05), except for Examiner 1 with the Lotrafilcon A lens measured using the DRI Triton system (P = 0.022), and for Examiners 2 and 3 with the Comfilcon A lens measured using the iVue-100 system (P < 0.05). The 95 % confidence interval (w) for intra-examiner repeatability was below 10.0 µm in all cases, except for measurements obtained with the iVue-100 system by Examiner 2 for the Lotrafilcon A lens (w = 10.7 µm) and by Examiner 3 for the Stenfilcon A lens (w = 11.9 µm). The intraclass correlation analysis showed excellent coefficients (ICC > 0.99) for all lens materials and OCT systems across the three measurements taken by each examiner.
Intra-examiner repeatability in terms of repeatability (Sw), its 95 % confidence interval (w), and intraclass correlation coefficient (ICC) with its 95 % confidence interval (CI) for three measurements of all lens materials.
| Examiner | Lens | iVue-100 | DRI Triton | |||||||
|---|---|---|---|---|---|---|---|---|---|---|
| Sw (µm) | w (µm) | ICC [95 % CI] | P-value | Sw (µm) | w (µm) | ICC [95 % CI] | P-value | |||
| 1 | Etafilcon A | 1.9 | 5.4 | 0.999 [0.997, 1.000] | 0.259 | 2.1 | 5.7 | 0.999 [0.997, 1.000] | 0.272 | |
| Comfilcon A | 2.2 | 6.1 | 0.999 [0.998, 1.000] | 0.683 | 2.6 | 7.1 | 0.999 [0.997, 1.000] | 0.203 | ||
| Nesofilcon A | 2.8 | 7.8 | 0.995 [0.988, 0.998] | 0.692 | 2.4 | 6.6 | 0.996 [0.991, 0.999] | 0.936 | ||
| Delefilcon A | 2.5 | 6.8 | 0.998 [0.994, 0.999] | 0.402 | 2.6 | 7.2 | 0.998 [0.994, 0.999] | 0.983 | ||
| Stenfilcon A | 2.6 | 7.2 | 0.997 [0.993, 0.999] | 0.819 | 2.6 | 7.2 | 0.997 [0.993, 0.999] | 0.420 | ||
| Lotrafilcon A | 1.4 | 4.0 | 0.999 [0.998, 1.000] | 0.684 | 1.7 | 4.6 | 0.999 [0.998, 1.000] | 0.022⁎ | ||
| Balafilcon A | 1.6 | 4.5 | 0.999 [0.997, 1.000] | 0.717 | 1.5 | 4.1 | 0.999 [0.998, 1.000] | 0.063 | ||
| Lehfilcon A | 2.2 | 6.0 | 0.999 [0.997, 0.999] | 0.256 | 1.7 | 4.6 | 0.999 [0.998, 1.000] | 0.701 | ||
| 2 | Etafilcon A | 2.5 | 6.7 | 0.998 [0.996, 0.999] | 0.211 | 2.1 | 5.9 | 0.999 [0.997, 0.999] | 0.272 | |
| Comfilcon A | 2.3 | 6.4 | 0.999 [0.998, 1.000] | 0.042⁎ | 2.6 | 7.1 | 0.999 [0.997, 1.000] | 0.105 | ||
| Nesofilcon A | 2.8 | 7.7 | 0.995 [0.989, 0.998] | 0.759 | 2.7 | 7.4 | 0.995 [0.989, 0.998] | 0.655 | ||
| Delefilcon A | 3.5 | 9.6 | 0.996 [0.990, 0.998] | 0.197 | 2.7 | 7.4 | 0.998 [0.994, 0.999] | 0.819 | ||
| Stenfilcon A | 3.5 | 9.6 | 0.995 [0.988, 0.998] | 0.148 | 2.8 | 7.9 | 0.997 [0.992, 0.999] | 0.282 | ||
| Lotrafilcon A | 3.9 | 10.7 | 0.995 [0.988, 0.998] | 0.854 | 1.7 | 4.5 | 0.999 [0.998, 1.000] | 0.101 | ||
| Balafilcon A | 2.7 | 7.4 | 0.996 [0.991, 0.999] | 0.650 | 1.5 | 4.1 | 0.999 [0.998, 1.000] | 0.120 | ||
| Lehfilcon A | 1.8 | 4.9 | 0.999 [0.998, 1.000] | 0.678 | 1.6 | 4.6 | 0.999 [0.998, 1.000] | 0.504 | ||
| 3 | Etafilcon A | 2.5 | 6.8 | 0.998 [0.995, 0.999] | 0.424 | 1.3 | 3.7 | 0.999 [0.999, 1.000] | 0.191 | |
| Comfilcon A | 2.8 | 7.8 | 0.999 [0.996, 1.000] | 0.017⁎ | 2.7 | 7.6 | 0.999 [0.997, 1.000] | 0.859 | ||
| Nesofilcon A | 2.8 | 7.8 | 0.995 [0.988, 0.998] | 0.528 | 2.5 | 6.9 | 0.996 [0.990, 0.998] | 0.683 | ||
| Delefilcon A | 3.5 | 9.6 | 0.994 [0.986, 0.998] | 0.344 | 2.1 | 5.8 | 0.998 [0.996, 0.999] | 0.203 | ||
| Stenfilcon A | 4.3 | 11.9 | 0.992 [0.982, 0.997] | 0.071 | 2.8 | 7.6 | 0.997 [0.992, 0.999] | 0.408 | ||
| Lotrafilcon A | 1.8 | 5.0 | 0.999 [0.997, 1.000] | 0.807 | 2.7 | 7.6 | 0.997 [0.994, 0.999] | 0.083 | ||
| Balafilcon A | 2.2 | 6.2 | 0.988 [0.971, 0.995] | 0.886 | 1.8 | 5.1 | 0.998 [0.996, 0.999] | 0.290 | ||
| Lehfilcon A | 2.7 | 7.5 | 0.998 [0.994, 0.999] | 0.337 | 2.6 | 7.1 | 0.998 [0.995, 0.999] | 0.247 | ||
Inter-examiner repeatability (Table 2) generally showed worse results compared to intra-examiner repeatability for both OCT systems. With the iVue-100 system, significant differences between examiners were found only for Measure 3 of the Comfilcon A lens (P = 0.001). However, up to seven measurements had repeatability values (in terms of w) exceeding 10.0 µm. With the DRI Triton system, more measurements (up to five) showed significant differences between examiners (P < 0.05), but all repeatability values (w) were below 10.0 µm. Similar to intra-examiner repeatability, the intraclass correlation analysis for inter-examiner repeatability demonstrated excellent coefficients (ICC > 0.99) in all cases.
Inter-examiner repeatability in terms of repeatability (Sw), its 95 % confidence interval (w), and intraclass correlation coefficient (ICC) with its 95 % confidence interval (CI) for three measurements of all lens materials.
| Measure | Lens | iVue-100 | DRI Triton | |||||||
|---|---|---|---|---|---|---|---|---|---|---|
| Sw (µm) | w (µm) | ICC [95 % CI] | P-value | Sw (µm) | w (µm) | ICC [95 % CI] | P-value | |||
| 1 | Etafilcon A | 2.9 | 7.9 | 0.997 [0.994, 0.999] | 0.878 | 2.4 | 6.6 | 0.998 [0.996, 0.999] | 0.810 | |
| Comfilcon A | 3.1 | 8.7 | 0.998 [0.996, 0.999] | 0.933 | 3.0 | 8.3 | 0.998 [0.996, 0.999] | 0.701 | ||
| Nesofilcon A | 2.6 | 7.3 | 0.996 [0.990, 0.998] | 0.510 | 3.1 | 8.7 | 0.993 [0.985, 0.998] | 0.381 | ||
| Delefilcon A | 4.2 | 11.6 | 0.993 [0.985, 0.998] | 0.591 | 3.3 | 9.1 | 0.996 [0.991, 0.999] | 0.356 | ||
| Stenfilcon A | 4.0 | 11.1 | 0.993 [0.985, 0.998] | 0.534 | 3.1 | 8.6 | 0.996 [0.991, 0.999] | 0.067 | ||
| Lotrafilcon A | 3.2 | 9.0 | 0.997 [0.992, 0.999] | 0.381 | 2.7 | 7.4 | 0.998 [0.994, 0.999] | 0.214 | ||
| Balafilcon A | 4.0 | 11.1 | 0.992 [0.981, 0.997] | 0.063 | 2.7 | 7.3 | 0.997 [0.992, 0.999] | 0.101 | ||
| Lehfilcon A | 2.8 | 7.7 | 0.998 [0.994, 0.999] | 0.725 | 2.7 | 7.5 | 0.998 [0.994, 0.999] | 0.030⁎ | ||
| 2 | Etafilcon A | 3.2 | 8.8 | 0.997 [0.993, 0.999] | 0.950 | 2.7 | 7.4 | 0.998 [0.995, 0.999] | 0.470 | |
| Comfilcon A | 3.2 | 9.0 | 0.998 [0.996, 0.999] | 0.201 | 2.7 | 7.5 | 0.999 [0.997, 1.000] | 0.856 | ||
| Nesofilcon A | 3.1 | 8.6 | 0.994 [0.986, 0.998] | 0.751 | 2.4 | 6.6 | 0.996 [0.991, 0.999] | 0.091 | ||
| Delefilcon A | 3.2 | 8.9 | 0.996 [0.991, 0.999] | 0.133 | 3.2 | 8.8 | 0.996 [0.991, 0.999] | 0.208 | ||
| Stenfilcon A | 3.1 | 8.7 | 0.996 [0.991, 0.999] | 0.068 | 3.0 | 8.4 | 0.996 [0.991, 0.999] | 0.819 | ||
| Lotrafilcon A | 3.9 | 10.7 | 0.995 [0.988, 0.998] | 0.802 | 2.0 | 5.5 | 0.999 [0.997, 1.000] | 0.133 | ||
| Balafilcon A | 3.7 | 10.3 | 0.993 [0.983, 0.997] | 0.420 | 2.4 | 6.7 | 0.997 [0.992, 0.999] | 0.012⁎ | ||
| Lehfilcon A | 3.0 | 8.4 | 0.997 [0.993, 0.999] | 0.886 | 2.8 | 7.6 | 0.997 [0.994, 0.999] | 0.799 | ||
| 3 | Etafilcon A | 3.0 | 8.3 | 0.997 [0.994, 0.999] | 0.418 | 2.2 | 6.1 | 0.998 [0.996, 0.999] | 0.381 | |
| Comfilcon A | 3.3 | 9.0 | 0.998 [0.993, 0.999] | 0.001⁎ | 3.1 | 8.5 | 0.998 [0.996, 0.999] | 0.124 | ||
| Nesofilcon A | 3.7 | 10.3 | 0.991 [0.979, 0.997] | 0.617 | 2.8 | 7.8 | 0.995 [0.987, 0.998] | 0.270 | ||
| Delefilcon A | 3.8 | 10.5 | 0.995 [0.988, 0.998] | 0.119 | 3.1 | 8.5 | 0.997 [0.992, 0.999] | 0.016⁎ | ||
| Stenfilcon A | 3.5 | 9.7 | 0.995 [0.988, 0.998] | 0.423 | 3.1 | 8.7 | 0.996 [0.990, 0.998] | 0.950 | ||
| Lotrafilcon A | 3.1 | 8.6 | 0.997 [0.997, 0.999] | 0.482 | 2.9 | 8.1 | 0.997 [0.993, 0.999] | 0.031⁎ | ||
| Balafilcon A | 2.4 | 6.7 | 0.997 [0.993, 0.999] | 0.169 | 2.5 | 6.8 | 0.997 [0.993, 0.999] | 0.105 | ||
| Lehfilcon A | 2.8 | 7.8 | 0.997 [0.994, 0.999] | 0.532 | 2.8 | 7.7 | 0.997 [0.993, 0.999] | 0.008⁎ | ||
In addition, a comprehensive analysis of the central thickness measurements of the contact lenses, categorized by material and lens power, is presented in Supplementary Table 2. This table summarizes the mean and standard deviation (mean ± SD) of the measurements obtained by each examiner with both OCT systems.
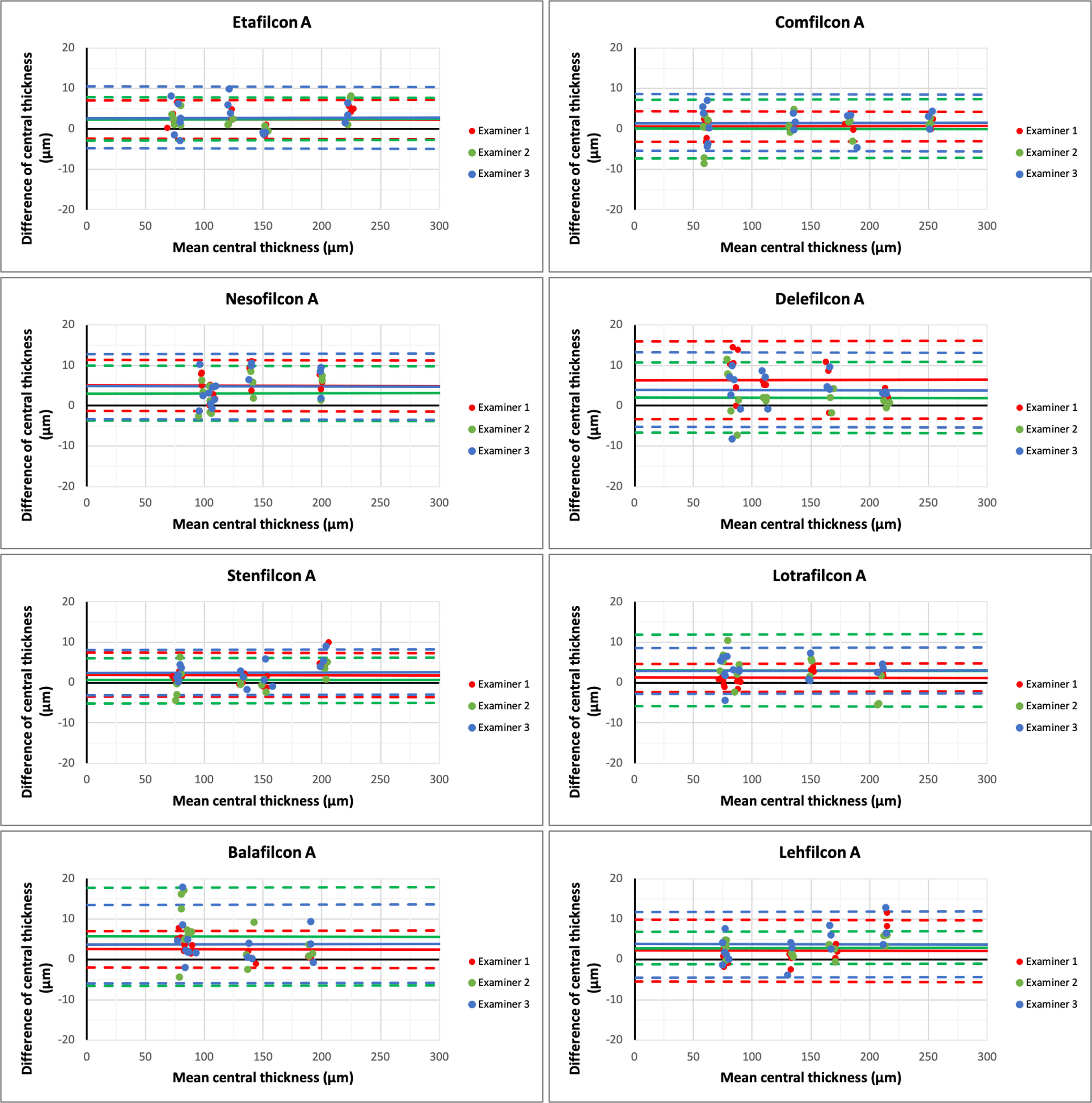
The Bland-Altman plots assessing the agreement between the two OCT systems for the mean values obtained by the three examiners across all lens materials are presented in Fig. 2. As shown by the mean differences in the graphs, the Triton system provided significantly lower central thickness values compared to the iVue-100 system for all lens materials (P < 0.05), except for the Comfilcon A lens, where no significant differences were observed for any examiner (P ≥ 0.05). There were also no significant differences for Examiner 1′s measurements with the Lehfilcon A lens (P = 0.061) or Examiner 2′s measurements with the Stenfilcon A lens (P = 0.363). Additionally, the 95 % limits of agreement (95 % LoA) were within ±10.0 µm in all cases, except for Examiner 3 with the Balafilcon A lens (95 % LoA = ±12.2 µm).
Bland-Altman plots of the central thickness were obtained by the three examiners to assess agreement between the two OCT systems. The middle line represents the mean difference between OCT systems (iVue-100 – DRI Triton). The two dotted lines represent the 95 % limits of agreement, which indicate the range within which 95 % of the differences between OCT systems are expected to lie.
Table 3 shows the difference between the theoretical central thicknesses provided by the manufacturers for a power of −3.00 D and the mean thickness obtained by the three examiners. The Comfilcon A lens showed the greatest difference with both OCT systems (around 20 µm), followed by the Etafilcon A lens (around 10 µm). With the DRI Triton system, the Delefilcon A lens also showed a considerable difference compared to the manufacturer's theoretical thickness (12.8 µm).
Differences between the theoretical central thickness provided by the manufacturers of all lens materials for a power of −3.00 D, the mean values obtained by the three examiners with both OCT systems and the mean values obtained by Examiner 1 with the ETG.
Finally, Table 4 shows the mean difference, the 95 % limits of agreement and the statistical significance between the measurements obtained with the OCT devices (iVue-100 and DRI Triton) and those obtained with the ETG (Model ET-3) by one of the examiners. The highest mean difference was observed for the Nesolfilcon A material between the iVue-100 and the Model ET-3 (9.82 µm) and p = 0.001. The mean differences between the iVue-100 and the Model ET-3 were <10.0 µm, whereas those between the DRI Triton and the Model ET-3 were <5.0 µm. No statistically significant differences were observed in the measurements of Comfilcon A and Lotrafilcon A between the two OCT systems when analyzed against the Model ET-3.
Mean difference (bias) between the measurements obtained with OCT devices (iVue-100 and DRI Triton) and those obtained with the ETG (Model ET-3) and its 95 % limits of agreement (95 % LoA).
| Lens | iVue-100 – Model ET-3 | DRI Triton – Model ET-3 | ||
|---|---|---|---|---|
| Bias ± 95 % LoA(µm) | P-value | Bias ± 95 % LoA(µm) | P-value | |
| Etafilcon A | 7.11 ± 17.51 | 0.020⁎ | 4.67 ± 14.86 | 0.047⁎ |
| Comfilcon A | 2.56 ± 19.38 | 0.865 | 1.88 ± 19.40 | 0.650 |
| Nesofilcon A | 9.82 ± 7.62 | 0.001⁎ | 4.79 ± 10.52 | 0.005⁎ |
| Delefilcon A | 7.30 ± 13.12 | 0.003⁎ | 0.84 ± 16.06 | 0.691 |
| Stenfilcon A | 6.69 ± 17.98 | 0.009⁎ | 4.73 ± 19.27 | 0.078 |
| Lotrafilcon A | 0.89 ± 18.36 | 0.532 | −0.42 ± 17.93 | 0.570 |
| Balafilcon A | −0.98 ± 9.65 | 0.460 | −3.49 ± 9.17 | 0.017⁎ |
| Lehfilcon A | 6.45 ± 19.18 | 0.009⁎ | 4.28 ± 12.49 | 0.031⁎ |
Although the use of OCT for contact lens CT quantification is not included in the ISO 18,369–3:2017 standards,1 custom-made OCT systems have been employed in vitro, and commercial OCT in vivo, for measuring soft contact lens thickness.16–20 However, to the best of our knowledge, this is the first study to use commercial OCT systems in vitro to measure the CT of soft contact lenses, including the assessment of their repeatability and agreement with the current gold standard, the ETG. This technique holds significant potential, particularly in the manufacturing and quality control processes of contact lenses. From a clinical perspective, once the properties of the contact lens have been characterized through in vitro measurements, the ability to perform in vivo assessments using OCT could be highly valuable for detecting significant changes in the CT of the soft contact lens during the fitting process (i.e. dehydration of the lens leading to thinning), ultimately improving the selection and performance of contact lenses in clinical practice. Additionally, it may also be beneficial in developing new materials to ensure the desired properties or to assess any alterations in the physical properties of contact lenses when exposed to different solutions.
All the materials analyzed in this study, measured with both commercial OCT systems, showed intra- and inter-examiner repeatability values (w) close to or below 10 µm. OCT may provide more sensitive and higher-resolution results than other optical methods, such as the projection comparator, which does not yield absolute contact lens thickness measurements because it has a resolution of around 50 µm.21 The device considered by the ISO organization as the gold standard for measuring the CT of soft contact lenses is the ETG with low contact force. The latest electronic thickness gauge models, including the Model ET-3, provide a measurement accuracy of ±2 µm.1 However, similar results can also be obtained with the OCT technique, which is satisfactory for this field, as it provides an alternative measurement system if the electronic thickness gauge is not accessible. Furthermore, commercial OCT systems enable measurements of the CT of soft contact lenses both in vitro and in vivo, providing a significant advantage over the previously mentioned devices, which cannot be used for subsequent clinical assessment. The present study highlighted the versatility and potential impact of commercial OCTs for both in vitro manufacturing of contact lenses and the already known clinical applications.
The results of the CT obtained with the OCT systems in this study aligned with previous studies using an ETG.22,23 Although these studies did not report results on the instrument's repeatability, the mean values and standard deviations obtained with the ETG, categorized by lens power in different materials, align with the findings of this study, with standard deviations below 11 µm. Previous investigations that measured contact lens CT focused only on Comfilcon A, Etafilcon A, Lotrafilcon A and Balafilcon A materials.22,23 In contrast, this study incorporated more advanced materials with surface treatments that may potentially change their wettability and hence, their CT, such as Lehfilcon A, Delefilcon A, and a material with a 78 % water content, Nesofilcon A. Moreover, it is noteworthy that Horst et al.24 and Morgan et al.25 did not report the standard deviation for the central thickness of Lotrafilcon A, Etafilcon A, and Balafilcon A materials. For lenses with powers of −3.00 and −2.75 diopters, the reported mean values indicate that Lotrafilcon A is approximately 10 µm thinner, and Balafilcon A is 15 µm thicker than corresponding measurements obtained using OCT systems. These values, measured with an electronic thickness gauge, differ significantly from the theoretical values provided by the manufacturer.
A key advantage of the OCT method would be the ease of centering the lens on the support, aided by the clear indication of lens diameter and the white markings at the center. In comparison, centering a lens using an electronic thickness gauge or projection comparator would be more challenging, with a higher risk of decentration if the support is not large enough to properly balance the contact lens. Furthermore, it is worth noting that while manual methods allow for the measurement of lens thickness at a single location, OCT provides a comprehensive view of the entire lens, enabling simultaneous thickness assessment at multiple locations.26 Additionally, excessive pressure from the electronic thickness gauge could deform soft contact lenses, resulting in underestimated thickness values.1 It is important to note that measuring the central thickness of the lens in air can lead to dehydration and, therefore, inaccurate results. This issue could be minimized by performing measurements in <10 s.27
Moreover, it should be noted that no studies were found in the scientific literature that evaluate inter-examiner repeatability. In previous works, similar intra-examiner repeatability results were obtained using a developmental OCT-based instrument21 and electronic thickness gauge,22 and worse results were observed with projection techniques.21 The importance of assessing inter-examiner repeatability lies in knowing if different examiners could determine contact lens thickness in a single experiment without biasing these results. The intra-examiner repeatability results were slightly better than those for inter-examiner repeatability (see Table 2). This may be attributed to examiner bias; although the study was masked, the examiners maintained consistent criteria throughout all measurements, which could differ slightly in some measurements.
By comparing the two OCT systems, the DRI Triton system yields slightly lower thickness values than the iVue-100 for all evaluated materials. This may be due to the sharper, higher-quality images produced by the swept source system of the DRI Triton in comparison with the spectral-domain iVue-100, allowing for higher magnification and a better delineation of the contact lens external surface.5 However, as the 95 % limits of agreement were below ±10 µm in most cases, the two OCT systems could be considered interchangeable. Regarding lens power, the negative lenses of −3.00 D and −6.00 D showed greater differences between instruments, likely due to the more pronounced changes in lens thickness profile from the center to the periphery in these negative lenses, making them more susceptible to measurement errors if they are decentered from the measurement support.22
Concerning the comparison between the theoretical thickness values provided by the manufacturers and those measured by the OCT systems, notable differences were observed for some materials, especially for Comfilcon A lenses (see Table 3). Physical-chemical properties of the materials, such as flexibility (which could deform lenses placed on the support), temperature or dehydration, could explain why the central thicknesses of some lenses differ from the manufacturer's theoretical values. Aligned with our results, Lira et al.22 reported that the central thickness of the Comfilcon A lens was 12 µm lower than its theoretical value when measured with an electronic thickness gauge.
In addition to the fact that both commercial OCT systems showed levels of agreement suggesting they could be used interchangeably across different materials, a high level of agreement was also observed between both OCT systems and the ETG, which served as the gold standard. These results are consistent with those reported by Vincent et al.,26 who investigated the agreement of central thickness measurements of different scleral lenses assessed in vitro using OCT and a manual lens gauge, finding a mean difference between the two methods of 5 ± 9 μm (95 % LoA −14 to +23 μm). Although statistically significant differences were observed between the ETG and the OCT systems for some materials, these differences fall within an acceptable margin of variation, as they are consistent with the CT measurement differences between the two OCT systems, which were <10 μm.
It is now necessary to point out the shortcomings of this study. One primary limitation was measuring contact lens thickness in air, which can lead to material dehydration28 and, consequently, an underestimation of thickness. Although this risk was minimized by performing measurements within 10 s. Another important limitation was that no comparison with clinical measurements was conducted, meaning these results focus especially on their potential implementation in the manufacturing and quality control processes of soft contact lenses.
In conclusion, this study demonstrated proper intra- and inter-examiner repeatability for measuring the central thickness of soft contact lenses using two commercial OCT systems, which were considered interchangeable. Additionally, both OCT systems demonstrated good agreement with the measurements obtained using the ETG. Therefore, the use of these commercial OCT systems represents a useful alternative to methods for measuring the central thickness of soft contact lenses during their development, manufacturing, and quality control processes.
No author has a financial or proprietary interest in any material or method mentioned. The authors have no conflicts of interest to declare.
This research did not receive any specific grant from funding agencies in the public, commercial, or not-for-profit sectors.








